продукт
приложение
план
ресурс
поддерживать
новости
о нас
登录

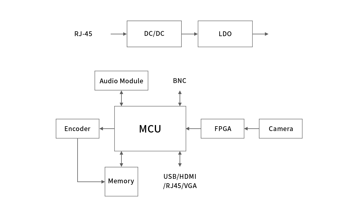
DVR

Summary Application Circuit Diagram Documents Other

Summary

Hard Disk Recorder, also known as a digital video recorder, is a device that records video onto a hard disk, distinguishing it from traditional analog video recorders. It is essentially a computer system designed for image storage and processing, capable of long-term video and audio recording, remote monitoring, and control.

DVR utilizes digital recording technology, offering significant advantages over analog surveillance equipment in areas such as image processing, storage, retrieval, backup, network transmission, and remote control. As such, DVR represents the future direction of video surveillance systems.

Application Circuit Diagram

Find products and reference designs suitable for your system

DVR

Other Related

Сетевая камера Entrance Guard Security Camera NVR